Asas Membina Rumah
Apabila ia dilakukan dengan betul membina rumah anda sendiri boleh menjimatkan kadang-kadang sejumlah besar wang mungkin 15 peratus atau lebih berbanding dengan membeli rumah yang sedia ada. Rumah kastam biasanya berharga dua kali ganda untuk dibina sebagai rumah yang ada di kawasan yang sama ditambah dengan kos tanah.
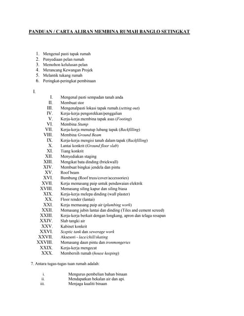
Bina Sendiri Rumah Banglo Bina Sendiri Rumah Banglo
3 Raft Foundation Asas Rakit 4 Pile Cap.
Asas membina rumah. 330101 Bahan terbaik untuk membina rumah. RM240000 RM130000 RM37000000. 3301 Kesilapan dalam pembinaan sebuah rumah yang diperbuat daripada kayu.
1 Pad Foundation Asas Pad 2 Strip Foundation. Terdapat beberapa cara untuk membina rumah kad. Walaupun ramai orang membeli rumah yang sedia ada atau menyewa kontraktor untuk membina mereka ada yang memilih untuk membina rumah mereka sendiri.
Ramai tukang kebun memutuskan untuk membina rumah hijau di laman web ini jangan fikirkan asas yang boleh dipercayai untuknyaSudah tentu rumah hijau bukanlah struktur modal dan beban di atas tanahnya adalah kecil. 31 Pelbagai bahan dinding. Harga membina rumah tingkat atas 1000kp x RM130kaki persegi RM130000.
Kalau diikutkan dari segi kos memang lebih jimat berbanding membeli rumah kediaman yang dijual oleh pemaju. Seni bina kayu moden. Ia tidak menghairankan bahawa asas tanah pepejal pepejal dipercayai hampir tidak pernah dibina - untuk rumah persendirian biasanya tidak perlu.
02032015 Projek pembinaan rumah ini diteruskan dengan membina pagar konkrit untuk keseluruhan kawasan tapak rumah. Jadi kos membina rumah anda ialah. Ibu bapa yang menyediakan rumah kelab untuk anak-anak mereka mengiktiraf keperluan kanak-kanak untuk kesendirian dan ruang tetapi ibu bapa yang melibatkan anak-anak mereka dalam membina rumah kelab memberikan anak-anak mereka.
2000kp x RM120kaki persegi RM240000. 30012018 2 Membina rumah kayu dengan tangan anda sendiri. Cara membina rumah kad.
22102020 Misal contoh ingin membina rumah dengan kos RM 500 00000 siapkan wang tunai sekurang-kurangnya dalam RM 75 00000. Apabila selesai dengan betul membina rumah anda sendiri dapat menjimatkan sejumlah besar wang mungkin 15 peratus atau lebih berbanding dengan membeli rumah yang ada. Harga membina rumah tingkat bawah.
3 Pembinaan rumah kayu. 3000 kp x RM120 sekaki luas RM3600. Di Malaysia Terdapat 4 jenis Foundation Asas yang biasa digunakan iaitu-.
Walau bagaimanapun pembinaan semula boleh menelan kos lebih daripada nilai rumah anda atau lebih daripada pembinaan baru. 26092018 Harga membina rumah tingkat bawah 2000kp x RM120kaki persegi RM240000. Yang mungkin pernah anda saksikan di TV atau di filem berdasarkan pada rangkaian bentuk segitiga yang membentuk asas kad.
Dan dalam hal membina asas itu tidak ada tempat lain yang kita maksudkan dengan prinsip yang disuarakan dalam salah satu kartun Soviet - seperti yang anda panggil kapal layar supaya ia akan terapung. 24102016 PERKARA ASAS SEBELUM BINA RUMAH ATAS TANAH SENDIRI. 17082016 Pengiraan Ringkas Kos Membina Rumah.
Kos membina rumah. RM370000 x 6 GST RM2220000. Akan tetapi ramai yang tidak mengetahui selok-belok dalam merancang kediaman jenis ini sehingga mengikis.
33 Jenis bumbung terikat kepada jenis pembinaan. Ukuran panjang keseluruhan pagar yang dibina adalah 350 kaki menggunakan batu bata dan konkrit dengan kadar upah yang dikenakan adalah RM2400 sekaki. Walaupun ramai orang membeli rumah yang ada atau mengupah kontraktor untuk membina mereka ada yang memilih untuk membina rumah mereka sendiri.
23052021 Rumah-rumah perkantoran menawarkan kanak-kanak berundur khas dari tuntutan sekolah kerja rumah dan tekanan sosial. Kos cukai jualan GST. Walaupun kita boleh membuat pengeluaran dari akaun 2 KWSP perlu kita ingat pengeluaran di KWSP hanya boleh dikeluarkan setelah kerja binaan telah berjalan dan kontrak telah ditandatangan beserta kelulusan binaan dari PBT.
05082018 Harus diingat bahawa asas-asas kolumnar jalur adalah yang paling popular dalam pembinaan rumah-rumah yang diperbuat daripada konkrit berudara. Butir-butir pemasangan asas pita dan pangkalan lain bangunan 2-3 tingkat yang lebih baik mencurahkan asas yang kukuh reben. Membina rumah adat biasanya memerlukan beberapa bulan atau lebih dan perbelanjaan yang tidak dijangka akan membelanjakan anggaran anda.
Membina rumah kediaman di atas tanah sendiri merupakan impian setiap individu. 2000 kp 1000 kp 3000 kp. Membina semula rumah selepas kebakaran bencana alam atau kehilangan harta benda lain mengembalikan rumah anda untuk menyukai keadaan baru sambil menjadikannya lebih selamat dan lebih moden.
32 Asas untuk rumah boleh berbeza. Yayasan apa yang paling sesuai untuk rumah masa depan anda. Tidak ramai yang berpendapat bahawa asas adalah asas rumah.

Bahan Asas Pembinaan Rumah Coretan Dan Warna Kehidupan
Comments
Post a Comment